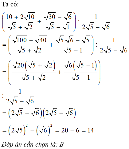
Tính giá trị biểu thức
A. 28
B. 14
C. −14
D. 15
Quảng cáo
1 câu trả lời 235
Quảng cáo
Bạn cần hỏi gì?
Câu hỏi hot cùng chủ đề
-
Đã trả lời bởi chuyên gia
7372 -
Đã trả lời bởi chuyên gia
6777 -
Đã trả lời bởi chuyên gia
6727 -
Đã trả lời bởi chuyên gia
5852 -
Đã trả lời bởi chuyên gia
5278 -
Đã trả lời bởi chuyên gia
5235 -
Đã trả lời bởi chuyên gia
4827
Gửi báo cáo thành công!
