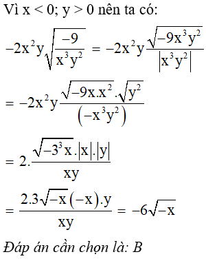
Khử mẫu biểu thức sau -2xy với x < 0; y > 0 ta được:
A.
B.
C.
D.
Quảng cáo
1 câu trả lời 752
Quảng cáo
Bạn cần hỏi gì?
Câu hỏi hot cùng chủ đề
-
Đã trả lời bởi chuyên gia
7372 -
Đã trả lời bởi chuyên gia
6777 -
Đã trả lời bởi chuyên gia
6727 -
Đã trả lời bởi chuyên gia
5852 -
Đã trả lời bởi chuyên gia
5278 -
Đã trả lời bởi chuyên gia
5235 -
Đã trả lời bởi chuyên gia
4827
Gửi báo cáo thành công!
