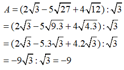
Rút gọn các biểu thức sau:
A. 4
B. -3
C. -5
D. -9
Quảng cáo
1 câu trả lời 577
Quảng cáo
Bạn cần hỏi gì?
Câu hỏi hot cùng chủ đề
-
Đã trả lời bởi chuyên gia
7372 -
Đã trả lời bởi chuyên gia
6777 -
Đã trả lời bởi chuyên gia
6727 -
Đã trả lời bởi chuyên gia
5852 -
Đã trả lời bởi chuyên gia
5278 -
Đã trả lời bởi chuyên gia
5235 -
Đã trả lời bởi chuyên gia
4827
Gửi báo cáo thành công!

