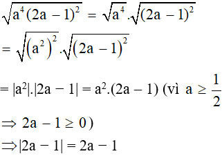
Rút gọn biểu thức với ta được:
A. a (2a – 1)
B.
C.
D. (1 – 2a) a
Quảng cáo
1 câu trả lời 392
Quảng cáo
Bạn cần hỏi gì?
Câu hỏi hot cùng chủ đề
-
Đã trả lời bởi chuyên gia
7372 -
Đã trả lời bởi chuyên gia
6777 -
Đã trả lời bởi chuyên gia
6727 -
Đã trả lời bởi chuyên gia
5852 -
Đã trả lời bởi chuyên gia
5278 -
Đã trả lời bởi chuyên gia
5235 -
Đã trả lời bởi chuyên gia
4827
Gửi báo cáo thành công!
