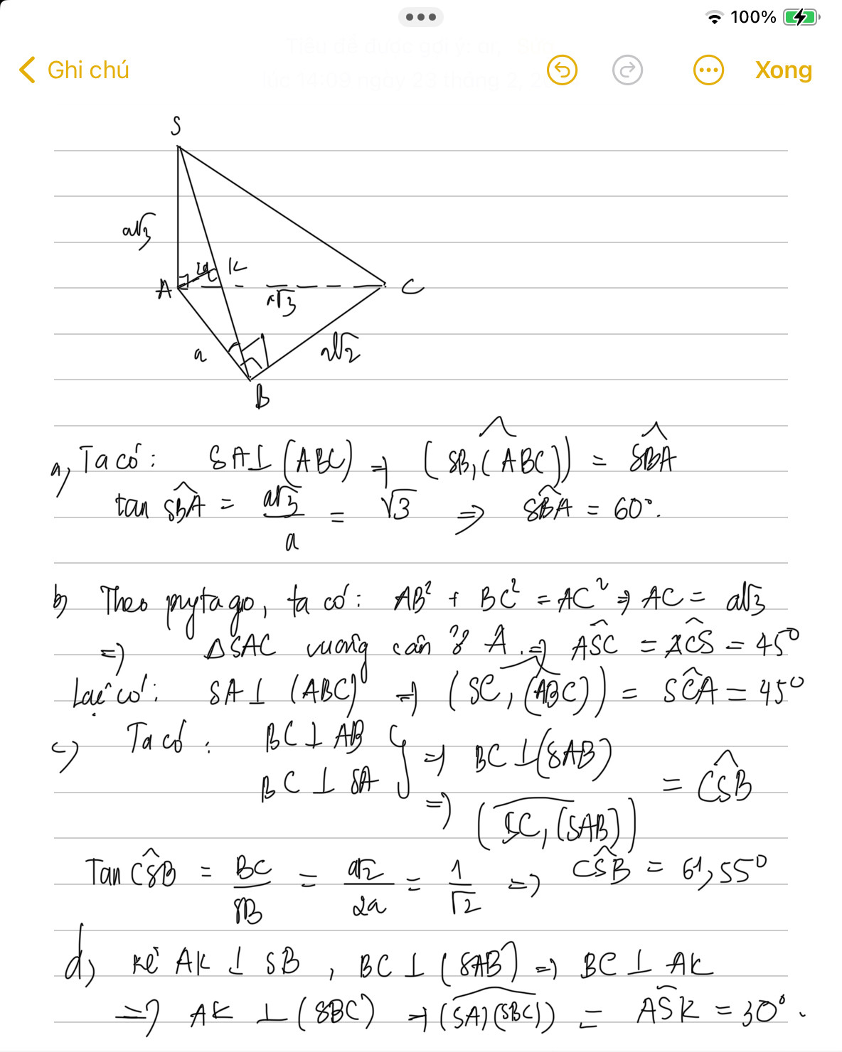
cho hình chóp S.ABC có đáy là tam giác ABC vuông tại B có ab=a, BC= cạnh SA vuông góc với đáy SA= tính góc giữa:
a)SB và (ABC)
b)SC và (ABC)
c)SC và (SAB)
d)SA và (SBC)
Quảng cáo
1 câu trả lời 168
Quảng cáo
Bạn cần hỏi gì?
Câu hỏi hot cùng chủ đề
-
Đã trả lời bởi chuyên gia
6220 -
Đã trả lời bởi chuyên gia
5618 -
Đã trả lời bởi chuyên gia
5582 -
Đã trả lời bởi chuyên gia
5563 -
Đã trả lời bởi chuyên gia
5267 -
Đã trả lời bởi chuyên gia
4820 -
Đã trả lời bởi chuyên gia
4328 -
Đã trả lời bởi chuyên gia
3732
Gửi báo cáo thành công!
