Quảng cáo
2 câu trả lời 227
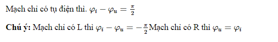
Mạch chỉ có tụ điện thì
φi−φu=π/2
=> điện áp giữa hai đầu đoạn mạch so với cường độ dòng điện sẽ trễ pha π/2.
Quảng cáo
Bạn cần hỏi gì?
Câu hỏi hot cùng chủ đề
-
Đã trả lời bởi chuyên gia
153434 -
Đã trả lời bởi chuyên gia
130367 -
Đã trả lời bởi chuyên gia
112880 -
Đã trả lời bởi chuyên gia
107015 -
Đã trả lời bởi chuyên gia
71773
Gửi báo cáo thành công!

