Cho hàm số f(x)=|x+1|. Khẳng định nào sau đây là sai?
A. f(x) liên tục tại x=-1
B. f(x) có đạo hàm tại x=-1
C. f(-1)=0
D. f(x) đạt giá trị nhỏ nhất tại x=-1
Quảng cáo
1 câu trả lời 550
![]()

f(-1)=0 ⇒ phương án C đúng
f(x)≥0, ∀x. f(x)=0 ⇔x=-1⇒phương án D đúng

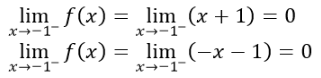
Phương án A đúng

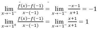
Suy ra không tồn tại giới hạn của tỉ số

Do đó hàm số đã cho không có đạo hàm tại x=-1. Vậy chọn đáp án là B
Quảng cáo
Bạn cần hỏi gì?
Câu hỏi hot cùng chủ đề
-
Đã trả lời bởi chuyên gia
135747 -
Đã trả lời bởi chuyên gia
26767 -
Đã trả lời bởi chuyên gia
17243 -
Đã trả lời bởi chuyên gia
15551 -
Đã trả lời bởi chuyên gia
13932
Gửi báo cáo thành công!

