Cho hàm số , có ∆x là số gia của đối số tại x=2. Khi đó ∆y/∆x bằng:
A.
B. A.
C.
D.
Quảng cáo
1 câu trả lời 287
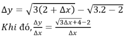
Tập xác định của hàm số đã cho là D= [2/3;+∞)
Với ∆x là số gia của đối số tại x=2 sao cho 2+∆x ∈ D,thì

Chọn đáp án C
Quảng cáo
Bạn cần hỏi gì?
Câu hỏi hot cùng chủ đề
-
Đã trả lời bởi chuyên gia
135747 -
Đã trả lời bởi chuyên gia
26767 -
Đã trả lời bởi chuyên gia
17243 -
Đã trả lời bởi chuyên gia
15551 -
Đã trả lời bởi chuyên gia
13932
Gửi báo cáo thành công!

