Tập nghiệm của phương trình là:
A. {k2π,π/2+k2π;k∈Z}
B. {kπ,π/2+k2π;k∈Z}
C. {π/2+k2π;k∈Z}
D. ∅
Quảng cáo
1 câu trả lời 1254
Chọn B
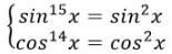
-1 ≤ sinx,cosx ≤ 1 nên sin15x+cos14x≤sin2x+cos2x=1. Dấu đẳng thức xảy ra khi
![]()
Từ đó suy ra sinx=1, cosx=0 hoặc sinx=0, cosx=±1
Quảng cáo
Bạn cần hỏi gì?
Câu hỏi hot cùng chủ đề
-
Đã trả lời bởi chuyên gia
47929 -
Đã trả lời bởi chuyên gia
27705 -
Đã trả lời bởi chuyên gia
20383 -
Đã trả lời bởi chuyên gia
19451 -
Đã trả lời bởi chuyên gia
19033 -
Đã trả lời bởi chuyên gia
13126
Gửi báo cáo thành công!
