Tập nghiệm của phương trình = 0 là:
A. {π/6+kπ,k∈Z}
B. {π/2+kπ,k∈Z}
C. {π/6+kπ,π/2+kπ,k∈Z}
D. {π/2+k2π,k∈Z}
Quảng cáo
1 câu trả lời 2616
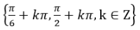
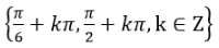
Chọn C
sin2x- √3sinxcosx+cos2x=0 ↔cos2x- √3 sinxcosx+cos2x=0
![]()
Vậy tập nghiệm là ![]()
Quảng cáo
Bạn cần hỏi gì?
Câu hỏi hot cùng chủ đề
-
Đã trả lời bởi chuyên gia
47929 -
Đã trả lời bởi chuyên gia
27705 -
Đã trả lời bởi chuyên gia
20383 -
Đã trả lời bởi chuyên gia
19451 -
Đã trả lời bởi chuyên gia
19033 -
Đã trả lời bởi chuyên gia
13126
Gửi báo cáo thành công!
