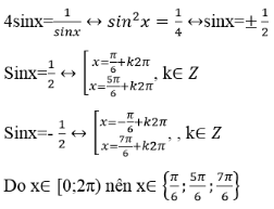
Số phần tử thuộc tập nghiệm của phương trình 4sinx = 1/sinx trong khoảng [0;2π}
A. 2
B. 3
C. 6
D. .8
Quảng cáo
1 câu trả lời 1105
Quảng cáo
Bạn cần hỏi gì?
Câu hỏi hot cùng chủ đề
-
Đã trả lời bởi chuyên gia
47929 -
Đã trả lời bởi chuyên gia
27705 -
Đã trả lời bởi chuyên gia
20383 -
Đã trả lời bởi chuyên gia
19451 -
Đã trả lời bởi chuyên gia
19033 -
Đã trả lời bởi chuyên gia
13126
Gửi báo cáo thành công!

