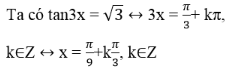
Số phần tử thuộc tập nghiệm của phương trình trong khoảng [0;2π} là:
A. 2
B. 3
C. 4
D. 6
Quảng cáo
1 câu trả lời 4282
Quảng cáo
Bạn cần hỏi gì?
Câu hỏi hot cùng chủ đề
-
Đã trả lời bởi chuyên gia
47929 -
Đã trả lời bởi chuyên gia
27705 -
Đã trả lời bởi chuyên gia
20383 -
Đã trả lời bởi chuyên gia
19451 -
Đã trả lời bởi chuyên gia
19033 -
Đã trả lời bởi chuyên gia
13126
Gửi báo cáo thành công!

