Nghiệm của phương trình là:
A. x = k2π, k ∈ Z
B. x = kπ, k ∈ Z
C. x = kπ/2, k ∈ Z
D. x = π/2+kπ, k ∈ Z
Quảng cáo
1 câu trả lời 3334
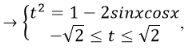
Chọn C
![]()
![]()
ta được : |t|+4( 1- t2)= 1 ↔ -4t2 +|t|+3=0 ↔ |t|=1

Quảng cáo
Bạn cần hỏi gì?
Câu hỏi hot cùng chủ đề
-
Đã trả lời bởi chuyên gia
47929 -
Đã trả lời bởi chuyên gia
27705 -
Đã trả lời bởi chuyên gia
20383 -
Đã trả lời bởi chuyên gia
19451 -
Đã trả lời bởi chuyên gia
19033 -
Đã trả lời bởi chuyên gia
13126
Gửi báo cáo thành công!
