Nghiệm của phương trình là:
A.
B.
C.
D.
Quảng cáo
1 câu trả lời 770
Chọn A
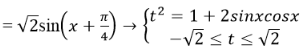
đặt t= sinx + cosx
![]()
khi đó phương trình trở thành t2 +4t – 5=0
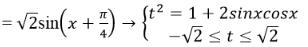
Giải phương trình và đối kiện điều kiện ta được t=1
![]()
Chú ý: ta gọi phương trình dạng A(sinx + cosx) + B sinxcosx +C= 0 phương trình đối xứng với sinx và cosx. Đối với phương trình dạng trên ta đặt t= sinx + cosx

Từ đó đưa phương trình về phương trình bậc hai đối với biến t
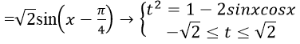
Đối với phương trình A( sinx - cosx) + B sinxcosx +C= 0, ta giải phương trình bằng cách đặt t=sinx – cosx
![]()
Quảng cáo
Bạn cần hỏi gì?
Câu hỏi hot cùng chủ đề
-
Đã trả lời bởi chuyên gia
47929 -
Đã trả lời bởi chuyên gia
27705 -
Đã trả lời bởi chuyên gia
20383 -
Đã trả lời bởi chuyên gia
19451 -
Đã trả lời bởi chuyên gia
19033 -
Đã trả lời bởi chuyên gia
13126
Gửi báo cáo thành công!
