Tổng các nghiệm của phương trình cos2x – sin2x = 1 trong khoảng (0; 2π) là:
A. 7 π/4
B. 14π/4
C. 15π/8
D. 13π/4
Quảng cáo
2 câu trả lời 5379
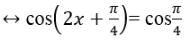
Chọn B
![]()
![]()
![]()
![]()
Vậy các nghiệm phương trình trong khoảng(0; 2π) là: 3π/4, 7π/4,π
Quảng cáo
Bạn cần hỏi gì?
Câu hỏi hot cùng chủ đề
-
Đã trả lời bởi chuyên gia
47929 -
Đã trả lời bởi chuyên gia
27705 -
Đã trả lời bởi chuyên gia
20383 -
Đã trả lời bởi chuyên gia
19451 -
Đã trả lời bởi chuyên gia
19033 -
Đã trả lời bởi chuyên gia
13126
Gửi báo cáo thành công!
