Nghiệm của phương trình là:
A.
B.
C.
D.
Quảng cáo
1 câu trả lời 4101
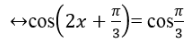
Chọn D
cos2x - √3sin2x = 1+sin2x
↔cos2x -sin2x - √3sin2x =1
↔ cos2x - √3sin2x = 1
![]()
Quảng cáo
Bạn cần hỏi gì?
Câu hỏi hot cùng chủ đề
-
Đã trả lời bởi chuyên gia
47929 -
Đã trả lời bởi chuyên gia
27705 -
Đã trả lời bởi chuyên gia
20383 -
Đã trả lời bởi chuyên gia
19451 -
Đã trả lời bởi chuyên gia
19033 -
Đã trả lời bởi chuyên gia
13126
Gửi báo cáo thành công!
