Phương trình có tập nghiệm là:
A. {π/3+k2π, k ∈ Z}
B. {±π/3+k2π, k ∈ Z}
C. {±π/3+k2π, - π/2+k2π, k ∈ Z}
D. {- π/2+k2π, k ∈ Z}
Quảng cáo
1 câu trả lời 4395
![]()

![]()
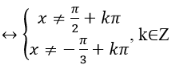
⇔ sin2x + 2cosx- sinx- 1= 0 ⇔ (2cosx- 1)(1+sinx)= 0 ⇔ 2cosx – 1= 0 ( 1+ sinx ≠ 0 do cosx ≠0)
Đối chiếu điều kiện, suy ra tập nghiệm của phương trình là
![]()
Chọn A
Quảng cáo
Bạn cần hỏi gì?
Câu hỏi hot cùng chủ đề
-
Đã trả lời bởi chuyên gia
47929 -
Đã trả lời bởi chuyên gia
27705 -
Đã trả lời bởi chuyên gia
20383 -
Đã trả lời bởi chuyên gia
19451 -
Đã trả lời bởi chuyên gia
19033 -
Đã trả lời bởi chuyên gia
13126
Gửi báo cáo thành công!
