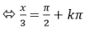
Phương trình có nghiệm là:
A. π/2+k2π, k ∈ Z.
B. 3π/2+k2π, k ∈ Z.
C. 3π/2+k3π, k ∈ Z.
D. kπ, k ∈ Z.
Quảng cáo
1 câu trả lời 1534
Quảng cáo
Bạn cần hỏi gì?
Câu hỏi hot cùng chủ đề
-
Đã trả lời bởi chuyên gia
47929 -
Đã trả lời bởi chuyên gia
27705 -
Đã trả lời bởi chuyên gia
20383 -
Đã trả lời bởi chuyên gia
19451 -
Đã trả lời bởi chuyên gia
19033 -
Đã trả lời bởi chuyên gia
13126
Gửi báo cáo thành công!
