Một chất phóng xạ ban đầu có n0 hạt nhân trong một năm còn lại 1/3 số hạt nhân ban đầu chưa phân rã Sau một năm nữa số hạt nhân còn lại chưa phân rã nhưng chất phóng xạ đó là
Quảng cáo
2 câu trả lời 294
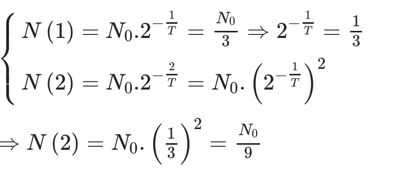
Ta có:

Vậy: Sau 1 năm nữa, số hạt nhân còn lại chưa phân rã của chất phóng xạ đó là 1/9
Một chất phóng xạ ban đầu có N0 hạt nhân. Sau 1 năm, còn lại một phần ba số hạt nhân ban đầu chưa phân rã. Sau 1 năm nữa, số hạt nhân còn lại chưa phân rã của chất phóng xạ đó là:
⎨⎪⎩N(1)=N0.2−1T=N03⇒2−1T=13N(2)=N0.2−2T=N0.(2−1T)2⇒N(2)=N0.(13)2=N09
Quảng cáo
Bạn cần hỏi gì?
Câu hỏi hot cùng chủ đề
-
Đã trả lời bởi chuyên gia
153215 -
Đã trả lời bởi chuyên gia
130136 -
Đã trả lời bởi chuyên gia
111343 -
Đã trả lời bởi chuyên gia
106728 -
Đã trả lời bởi chuyên gia
71482
Gửi báo cáo thành công!
