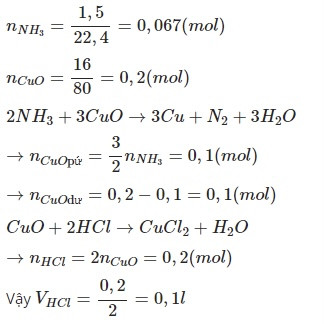
Cho 1,5 lit NH3 (đktc) qua ống đựng 16g CuO nung nóng thu được chất rắn X. Thể tích dung dịch HCl 2M đủ để tác dụng hết với X là bao nhiêu?
Quảng cáo
2 câu trả lời 961
Quảng cáo
Bạn cần hỏi gì?
Câu hỏi hot cùng chủ đề
-
Đã trả lời bởi chuyên gia
104509 -
Đã trả lời bởi chuyên gia
89945 -
Đã trả lời bởi chuyên gia
68923 -
Hỏi từ APP VIETJACK64998
-
Đã trả lời bởi chuyên gia
64119 -
Đã trả lời bởi chuyên gia
55635 -
Hỏi từ APP VIETJACK45092
-
Hỏi từ APP VIETJACK
Đã trả lời bởi chuyên gia
43521
Gửi báo cáo thành công!


