Tìm giá trị của tham số m để:
Quảng cáo
1 câu trả lời 467
3 năm trước
Cậu Áp Dụng Ạ
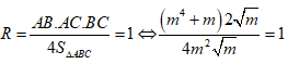
Ta có :
![]()

Hàm số đã cho có ba điểm cực trị khi m > 0(*)
Khi đó ba điểm cực trị của đồ thị hàm số là
A(0;m−1),B(−√m;−m2+m−1),C(√m;−m2+m−1)
S∆ABC=12∣∣yB−yA∣∣∣∣xc−xB∣∣
![]()


Kết hợp điều kiện (*) ta có
[Phương pháp trắc nghiệm]
Áp dụng công thức
Kết hợp điều kiện (*) ta có
DanielBusk
· 3 năm trước
Cái j v
DanielBusk
· 3 năm trước
Ko liên quan
私はあなたが好き ム💤
· 3 năm trước
bị lõi tele
Quảng cáo
Bạn muốn hỏi bài tập?
Câu hỏi hot cùng chủ đề
Gửi báo cáo thành công!
