Quảng cáo
1 câu trả lời 904
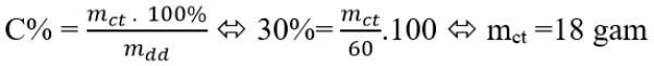
Khối lượng NaOH có chứa trong 60 gam dung dịch 30% là:
![]()
Gọi khối lượng NaOH thêm vào là a (gam), ta có
![]()
Đáp án B
Quảng cáo
Bạn cần hỏi gì?
Câu hỏi hot cùng chủ đề
-
Hỏi từ APP VIETJACK
Đã trả lời bởi chuyên gia
46531 -
Hỏi từ APP VIETJACK
Đã trả lời bởi chuyên gia
34349 -
Đã trả lời bởi chuyên gia
34055 -
Đã trả lời bởi chuyên gia
29330 -
Hỏi từ APP VIETJACK
Đã trả lời bởi chuyên gia
26489 -
Đã trả lời bởi chuyên gia
26131 -
Đã trả lời bởi chuyên gia
23231 -
Đã trả lời bởi chuyên gia
23165
Gửi báo cáo thành công!
