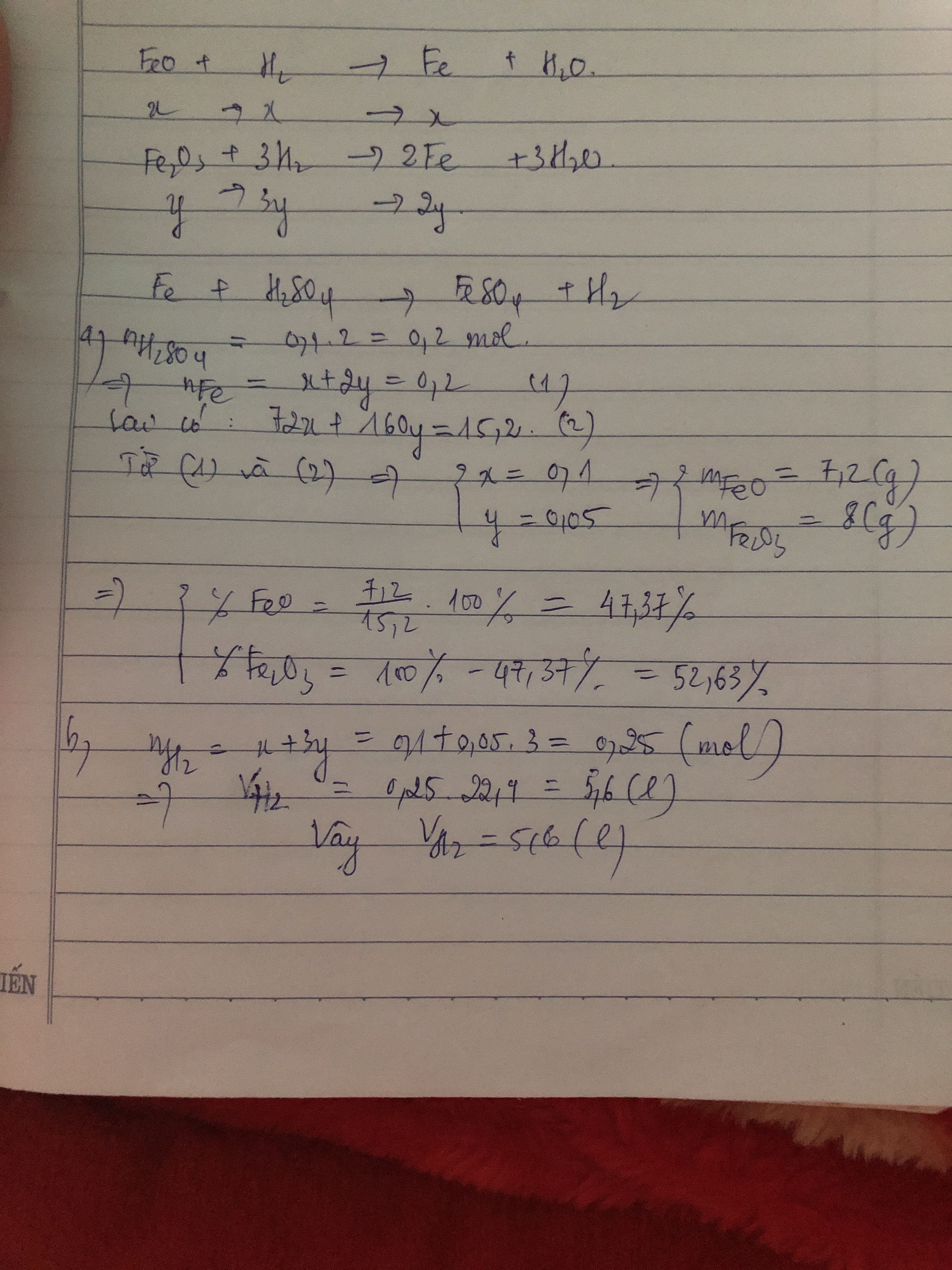
Bài 2: Khử 15,2g hỗn hợp FeO và Fe2O3 bằng khí H2 ở nhiệt độ cao, thu được sắt kim loại. Để hòa tan hết lượng sắt này cần dùng 100ml dung dịch H2SO4 2M.
a. Xác định phần trăm khối lượng mỗi oxit trong hỗn hợp ban đầu.
b. Tính thể tích khí khi H2 cần dùng(đktc) để khử hỗn hợp trên.
Quảng cáo
4 câu trả lời 384
Theo bài có pthh:
Fe2O3 + 3H2 -> 2Fe + 3H2O (1)
FeO + H2 -> Fe + H2O (2)
Fe + 2HCl -> FeCl2 + H2 (3)
Theo bài ra ta có:
nFe(pt3) =
FeO+H2---t*-->Fe+H2O(1)
x____________x
Fe2O3+3H2--t*-->2Fe+3H2O(2)
y_______________2y
Fe+2HCl--->FeCl2+H2(3)
0,2__0,4__________0,2
Hệ pt:
{72x+160y=15,2x+2y=0,2⇒{x=0,1y=0,05
Bài nào đúng thì chép vào nha tớ nhìn ko kĩ đề ạ.
Theo bài có pthh:
Fe2O3 + 3H2 -> 2Fe + 3H2O (1)
FeO + H2 -> Fe + H2O (2)
Fe + 2HCl -> FeCl2 + H2 (3)
Theo bài ra ta có:
nFe(pt3) = . nHCl = . 0,4 = 0,2 mol
Gọi a, b lần lượt là số mol của Fe2O3 và FeO (a,b>0)
=> mFe2O3 = a. MFe2O3 = 160a (g)
mFeO = b. MFeO = 72b (g)
=> mhh = mFe2O3 + mFeO
⇔ 15,2 = 160a + 72b (I)
Theo pthh ta có:
nFe(pt1) = 2 . nFe2O3 = 2a (mol)
nFe(pt2) = nFeO = b (mol)
=> nFe(tgpư) = nFe(bđ) = nFe(pt1) + nFe(pt2)
⇔ 0,2 = 2a + b (II)
Từ (I)(II) ta có hệ phương trình:
+ 160a + 72b = 15,2
+ 2a + b = 0,2
=> a = 0,05(TM) ; b = 0,1 (TM)
=> nFe2O3 = a = 0,05 mol
nFeO = b = 0,1 mol
=> %mFe2O3 = =
=> %mFeO = 100% - 52,63% = 47,37%
Ta có: nHCl = 0,4 mol ; nFe = 0,2 mol
=> nH2 = 1/2 . nHCl = nFe = 0,2 mol
=> VH2 = nH2 . 22,4 = 0,2 . 22,4 = 4,48 (l)
Fe2O3 + 3H2 -> 2Fe + 3H2O (1)
FeO + H2 -> Fe + H2O (2)
Fe + 2HCl -> FeCl2 + H2 (3)
Theo bài ra ta có:
nFe(pt3) = . nHCl = . 0,4 = 0,2 mol
Gọi a, b lần lượt là số mol của Fe2O3 và FeO (a,b>0)
=> mFe2O3 = a. MFe2O3 = 160a (g)
mFeO = b. MFeO = 72b (g)
=> mhh = mFe2O3 + mFeO
⇔ 15,2 = 160a + 72b (I)
Theo pthh ta có:
nFe(pt1) = 2 . nFe2O3 = 2a (mol)
nFe(pt2) = nFeO = b (mol)
=> nFe(tgpư) = nFe(bđ) = nFe(pt1) + nFe(pt2)
⇔ 0,2 = 2a + b (II)
Từ (I)(II) ta có hệ phương trình:
+ 160a + 72b = 15,2
+ 2a + b = 0,2
=> a = 0,05(TM) ; b = 0,1 (TM)
=> nFe2O3 = a = 0,05 mol
nFeO = b = 0,1 mol
=> %mFe2O3 = =
=> %mFeO = 100% - 52,63% = 47,37%
Ta có: nHCl = 0,4 mol ; nFe = 0,2 mol
=> nH2 = 1/2 . nHCl = nFe = 0,2 mol
=> VH2 = nH2 . 22,4 = 0,2 . 22,4 = 4,48 (l)
Quảng cáo
Bạn cần hỏi gì?
Câu hỏi hot cùng chủ đề
-
Hỏi từ APP VIETJACK
Đã trả lời bởi chuyên gia
46424 -
Hỏi từ APP VIETJACK
Đã trả lời bởi chuyên gia
34114 -
Đã trả lời bởi chuyên gia
33727 -
Đã trả lời bởi chuyên gia
29173 -
Hỏi từ APP VIETJACK
Đã trả lời bởi chuyên gia
26410 -
Đã trả lời bởi chuyên gia
26026 -
Đã trả lời bởi chuyên gia
23148 -
Đã trả lời bởi chuyên gia
23079
