Cho trục của một thấu kính, A’B’ là ảnh của AB như hình vẽ:
a) Không cần vẽ ảnh, hãy cho biết A’B’ là ảnh thật hay ảnh ảo? Thấu kính đã cho là hội tụ hay phân kì? Tại sao?
b) Vẽ hình xác định quang tâm O, tiêu điểm F, F’ của thấu kính.
c) Hãy xác định vị trí của ảnh, của vật và tiêu cự của thấu kính. Biết ảnh A’B’ chỉ cao bằng vật AB và khoảng cách giữa ảnh và vật là 2,4 cm.
Quảng cáo
1 câu trả lời 1113
a) Ảnh A’B’ là ảnh ảo vì dù thấu kính hội tụ hay phân kì nếu ảnh cùng chiều với vật thì ảnh đó luôn luôn là ảnh ảo.
Thấu kính đó là phân kì vì ảnh A’B’ là ảnh ảo và nhỏ hơn vật.
b) Hình vẽ:

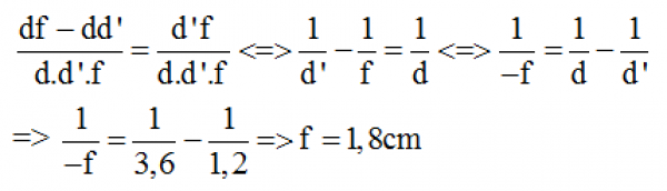
⇒ 2.OA=7,2cm

⇒ OA = 3,6 cm ⇒ OA'= 3,6 - 2,4 = 1,2 cm

Chia hai vế của (1) cho d.d’.f ta được:

Quảng cáo
Bạn cần hỏi gì?
Câu hỏi hot cùng chủ đề
-
Đã trả lời bởi chuyên gia
94796 -
Hỏi từ APP VIETJACK
Đã trả lời bởi chuyên gia
78087 -
Đã trả lời bởi chuyên gia
51664 -
Đã trả lời bởi chuyên gia
34843 -
Đã trả lời bởi chuyên gia
31721

