Đặt vật AB trước một thấu kính phân kì có tiêu cự f = 12 cm. Vật AB cách thấu kính khoảng d = 8 cm. A nằm trên trục chính, biết vật AB = 6 mm. Ảnh của vật AB cách thấu kính một đoạn bằng bao nhiêu?
Quảng cáo
1 câu trả lời 3404


Mà AB = OI ⇒ ![]()
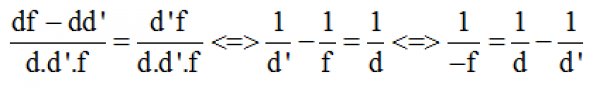
Chia hai vế của (1) cho d.d’.f ta được: 
Thay d = 8 cm, f = 12 cm ta được: 
Quảng cáo
Bạn cần hỏi gì?
Câu hỏi hot cùng chủ đề
-
Đã trả lời bởi chuyên gia
94796 -
Hỏi từ APP VIETJACK
Đã trả lời bởi chuyên gia
78087 -
Đã trả lời bởi chuyên gia
51664 -
Đã trả lời bởi chuyên gia
34843 -
Đã trả lời bởi chuyên gia
31721
Gửi báo cáo thành công!

