Một máy biến thế gồm cuộn sơ cấp có 1000 vòng, cuộn thứ cấp có 10000 vòng đặt ở đầu một đường dây tải điện để truyền đi một công suất điện là 11000 kW. Biết hiệu điện thế hai đầu cuộn thứ cấp là 110 kV.
a) Tính hiệu điện thế đặt vào hai đầu cuộn sơ cấp.
b) Cho điện trở của toàn bộ đường dây là 50. Tính công suất hao phí do tỏa nhiệt trên đường dây.
Quảng cáo
1 câu trả lời 716
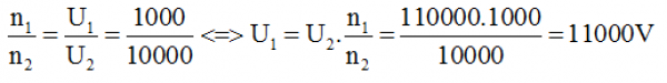
a) Ta có: 
b) Cường độ dòng điện qua dây: 
Công suất hao phí: ![]()
Quảng cáo
Bạn cần hỏi gì?
Câu hỏi hot cùng chủ đề
-
Đã trả lời bởi chuyên gia
94796 -
Hỏi từ APP VIETJACK
Đã trả lời bởi chuyên gia
78087 -
Đã trả lời bởi chuyên gia
51664 -
Đã trả lời bởi chuyên gia
34843 -
Đã trả lời bởi chuyên gia
31721
Gửi báo cáo thành công!

