Cuộn sơ cấp của một máy biến thế có vòng, cuộn thứ cấp có vòng. Nối hai đầu cuộn sơ cấp vào mạng điện có hiệu điện thế .
a) Tính hiệu điện thế giữa hai đầu cuộn thứ cấp.
b) Tính dòng điện chạy qua cuộn thứ cấp nếu nối hai đầu cuộn thứ cấp với điện trở 137,5 Ω
Coi điện năng không bị mất mát
Quảng cáo
1 câu trả lời 3272
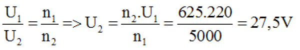
Hiệu điện thế giữa hai đầu cuộn thứ cấp:

Dòng điện qua cuộn thứ cấp:

Quảng cáo
Bạn cần hỏi gì?
Câu hỏi hot cùng chủ đề
-
Đã trả lời bởi chuyên gia
94796 -
Hỏi từ APP VIETJACK
Đã trả lời bởi chuyên gia
78087 -
Đã trả lời bởi chuyên gia
51664 -
Đã trả lời bởi chuyên gia
34843 -
Đã trả lời bởi chuyên gia
31721
Gửi báo cáo thành công!

