Người ta dùng hai dây điện trở khác nhau để đun sôi cùng một lượng nước. Khi dùng điện trở phút nước sôi, khi dùng điện trở sau thời gian phút nước sôi. Hãy xác định thời gian cần thiết để đun sôi nước khi hai điện trở mắc nối tiếp nhau.
Quảng cáo
1 câu trả lời 6485
Gọi hiệu điện thế hai đầu nguồn điện là U
Nhiệt lượng cần thiết để đun sôi nước là Q
Khi dùng điện trở :
(1)
Khi dùng điện trở :
(2)
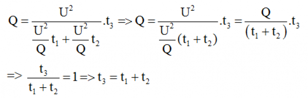
Khi R1 mắc nối tiếp :
(3)
Từ (1) và (2) thay vào (3) ta có:

Quảng cáo
Bạn cần hỏi gì?
Câu hỏi hot cùng chủ đề
-
Đã trả lời bởi chuyên gia
94796 -
Hỏi từ APP VIETJACK
Đã trả lời bởi chuyên gia
78087 -
Đã trả lời bởi chuyên gia
51664 -
Đã trả lời bởi chuyên gia
34843 -
Đã trả lời bởi chuyên gia
31721
Gửi báo cáo thành công!

