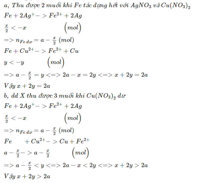
cho a(mol) Fe tác dụng với dd chứa x(mol) AgNO3, y mol Cu(NO3) tạo ra dd X. Tìm mối liên hệ a,x,y để: a) dd X thu đc 2 muối
b) dd X thu đc 3 muối
Quảng cáo
1 câu trả lời 521
Quảng cáo
Bạn muốn hỏi bài tập?
Câu hỏi hot cùng chủ đề
Gửi báo cáo thành công!

.