Lâm Thị Huyền Hương
Hỏi từ APP VIETJACK
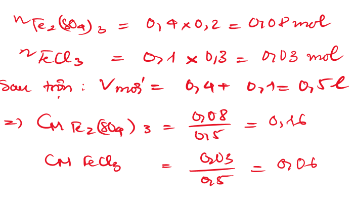
(a) Trộn 400 ml dung dịch Fe2(SO4)3 0,2M với 100 ml dung dịch FeCl3 0,3 M, tính nồng độ mol.
Quảng cáo
1 câu trả lời 1338
Quảng cáo
Bạn muốn hỏi bài tập?
Câu hỏi hot cùng chủ đề
-
Hỏi từ APP VIETJACK64694
-
Hỏi từ APP VIETJACK44796
Gửi báo cáo thành công!

