Trần Kim Ngọc
Hỏi từ APP VIETJACK
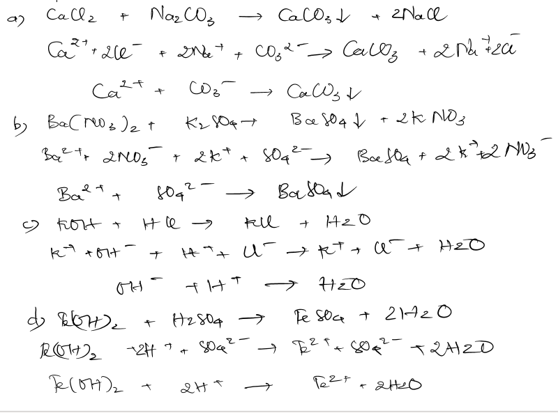
A) cacl2+ Na2Co3—>
B) Ba(No3)2+ K2SO4 ———->
C) KOH +HCL——>
D) Fe(OH)2 + H2So4———>
Viết phương trình phân tử , ion đầy đủ , ion rút gọn của các phản ứng sau.
Quảng cáo
1 câu trả lời 504
Quảng cáo
Bạn muốn hỏi bài tập?
Câu hỏi hot cùng chủ đề
-
Hỏi từ APP VIETJACK64694
-
Hỏi từ APP VIETJACK44796
Gửi báo cáo thành công!

