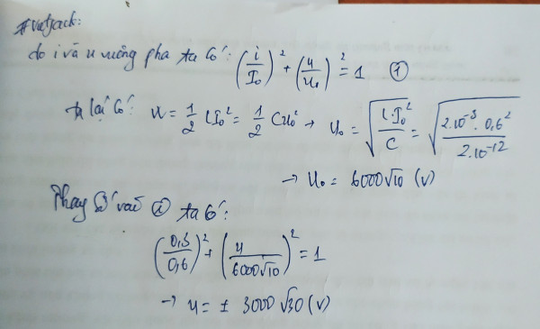
Một mạch dđộg LC,cuộn dây có độ tự cảm L=2mH,tụ điện có điện dug C=2pF.Cườg độ điện cực đại trog cuộn cảm Io= 0,6A.bỏ qa những mất mát năg lượg trog qtrinh dđộg.tính hiệu điện thế giữa 2 bản tụ điện ở thời điểm dòg điện qa cuộn cảm có cg độ i= 0,3A
Quảng cáo
2 câu trả lời 611
Quảng cáo
Bạn cần hỏi gì?
Câu hỏi hot cùng chủ đề
-
Đã trả lời bởi chuyên gia
153434 -
Đã trả lời bởi chuyên gia
130367 -
Đã trả lời bởi chuyên gia
112880 -
Đã trả lời bởi chuyên gia
107015 -
Đã trả lời bởi chuyên gia
71773
Gửi báo cáo thành công!

