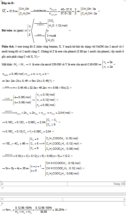
Đốt cháy hoàn toàn m gam hỗn hợp (H) gồm ba este đơn chức X, Y, Z (trong đó X và Y mạch hở, ; Z chứa vòng benzen) cần vừa đủ 2,22 mol thu được 20,16 gam . Mặt khác m gam (H) tác dụng vừa đủ với 200 gam dung dịch 9,2%, cô cạn dung dịch sau phản ứng thu được gam muối khan (gồm 3 muối trong đó có hai muối cùng số C) và hỗn hợp T chứa hai ancol có số nguyên tử cácbon liên tiếp nhau. Tỉ khối của T so với bằng 9,4. Phần trăm khối lượng của Y có giá trị gần nhất với
A. 29%.
B. 30%.
C. 31%.
D. 32%.
Quảng cáo
1 câu trả lời 250
Quảng cáo
Bạn cần hỏi gì?
Câu hỏi hot cùng chủ đề
-
Đã trả lời bởi chuyên gia
96145 -
Đã trả lời bởi chuyên gia
83786 -
Đã trả lời bởi chuyên gia
73477 -
Đã trả lời bởi chuyên gia
51724
Gửi báo cáo thành công!

