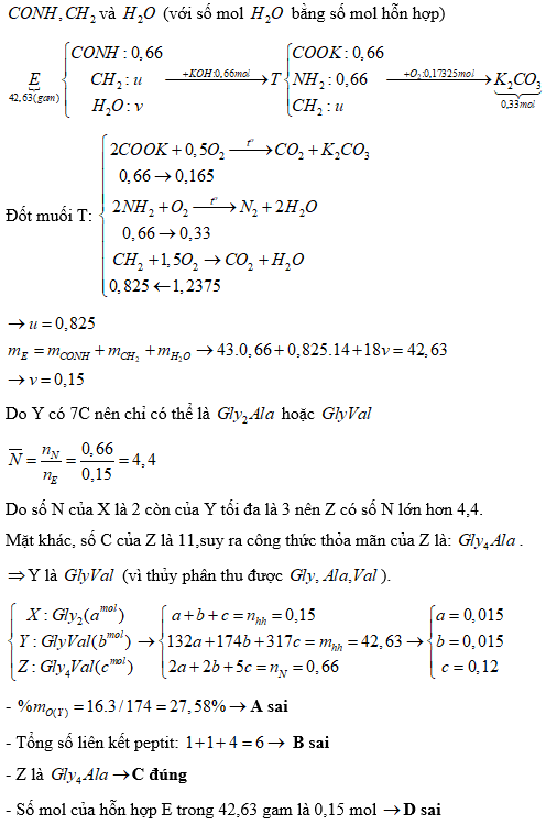
Hỗn hợp E chứa 3 peptit đều mạch hở, gồm peptit X , peptit Y và peptit Z . Đun nóng 42,63 gam E với dung dịch KOH vừa đủ, thu được hỗn hợp T gồm 3 muối của glyxin, alanin và valin. Đốt cháy toàn bộ T cần dùng 38,808 lít (đktc), thu được và 45,54 gam . . .Phát biểu nào dưới đây đúng?
A. Chất Y có %O = 31,068%.
B. Tổng số liên kết peptit của X, Y, Z là 9.
C. Chất Z là .
D. Số mol của hỗn hợp E trong 42,63 gam là 0,18.
Quảng cáo
1 câu trả lời 356
Quảng cáo
Bạn cần hỏi gì?
Câu hỏi hot cùng chủ đề
-
Đã trả lời bởi chuyên gia
96145 -
Đã trả lời bởi chuyên gia
83786 -
Đã trả lời bởi chuyên gia
73477 -
Đã trả lời bởi chuyên gia
51724
Gửi báo cáo thành công!

