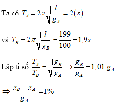
Một con lắc đơn có chiều dài , dao động tại điểm A với chu kì 2s. Đem con lắc tới vị trí B, ta thấy con lắc thực hiện 100 dao động hết 199s Gia tốc trọng trường tại B so với gia tốc trọng trường tại A đã:
A. Tăng 1%.
B. Tăng 0,5%.
C. Giảm 1%.
D. Đáp số khác.
Quảng cáo
1 câu trả lời 4542
Quảng cáo
Bạn cần hỏi gì?
Câu hỏi hot cùng chủ đề
-
Đã trả lời bởi chuyên gia
153215 -
Đã trả lời bởi chuyên gia
130136 -
Đã trả lời bởi chuyên gia
111343 -
Đã trả lời bởi chuyên gia
106728 -
Đã trả lời bởi chuyên gia
71482
Gửi báo cáo thành công!

