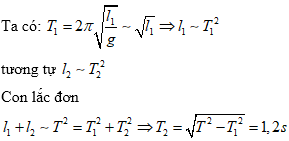
Con lắc đơn có độ dài dao động với chu kỳ , một con lắc đơn khác có độ dài dao động với chu kì . Chu kỳ con lắc đơn có độ dài là 1,5s. Tính chu kỳ dao động của con lắc đơn có độ dài ?
A. 0,6s.
B. 1,2s.
C. 2,4s.
D. 1,8s.
Quảng cáo
2 câu trả lời 922
Quảng cáo
Bạn muốn hỏi bài tập?
Câu hỏi hot cùng chủ đề
-
Đã trả lời bởi chuyên gia
153215 -
Đã trả lời bởi chuyên gia
130136 -
Đã trả lời bởi chuyên gia
111343 -
Đã trả lời bởi chuyên gia
106728 -
Đã trả lời bởi chuyên gia
71482
Gửi báo cáo thành công!

