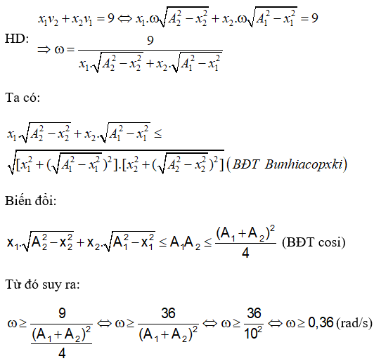
Hai vật dao động điều hòa có cùng tần số góc là (rad/s). Tổng biên độ dao động của hai vật là 10 cm. Trong quá trình dao động vật một có biên độ qua vị trí ( cm ) với vận tốc ( cm/s ), vật hai có biên độ qua vị trí ( cm ) với vận tốc ( cm/s ). Biết . Giá trị của có thể là:
A. 0,1 rad/s
B. 0,4 rad/s
C. 0,2 rad/s
D. 0,3 rad/s
Quảng cáo
1 câu trả lời 2516
Quảng cáo
Bạn muốn hỏi bài tập?
Câu hỏi hot cùng chủ đề
-
153203
-
110953
-
106707
-
71461
Gửi báo cáo thành công!

