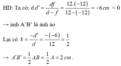
Đặt một vật phẳng nhỏ AB dài 4 cm rất gần và vuông góc với trục chính của một thấu kính phân kì. Nếu tiêu cự của thấu kính bằng -12 cm và vật cách thấu kính 12 cm thì ta thu được
A. ảnh thật cao 2 cm
B. ảnh ảo cao 4 cm
C. ảnh ảo cao 2 cm
D. ảnh thật cao 4 cm
Quảng cáo
2 câu trả lời 195
Quảng cáo
Bạn cần hỏi gì?
Câu hỏi hot cùng chủ đề
-
Đã trả lời bởi chuyên gia
153215 -
Đã trả lời bởi chuyên gia
130136 -
Đã trả lời bởi chuyên gia
111343 -
Đã trả lời bởi chuyên gia
106728 -
Đã trả lời bởi chuyên gia
71482
Gửi báo cáo thành công!

