Quảng cáo
2 câu trả lời 21996
1. Phân tích từ đồ thị
Từ đồ thị:
- Biên độ dao động A = 2 cm (giá trị cực đại trên trục tung),
- Chu kỳ dao động T = 0,4 s,
- Tại t = 0, vật ở vị trí cân bằng (VTCB) và chuyển động theo chiều **âm** (hướng xuống).
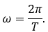
2. Tính tần số góc
Tần số góc được tính theo công thức:
![]()
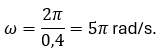
Thay T = 0,4 s vào, ta có:
![]()
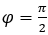
3. Xác định pha ban đầu
Phương trình dao động điều hòa có dạng:
![]()
Tại t = 0, x = 0 (vị trí cân bằng) và vật chuyển động theo **chiều âm**. Khi , phương trình , suy ra:
![]()
Vì vật chuyển động theo chiều âm (hướng xuống), nên pha ban đầu:
![]()
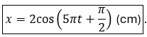
4. Phương trình dao động
Thay A = 2, , và
vào phương trình dao động, ta có:
![]()
5. Kết luận
Phương trình dao động của vật là:

Đáp án đúng là: D.
.
Quảng cáo
Bạn muốn hỏi bài tập?
Câu hỏi hot cùng chủ đề
-
153203
-
110953
-
106707
-
71461
Gửi báo cáo thành công!

