Ba oxit của sắt thường gặp là FeO, Fe2O3, Fe3O4
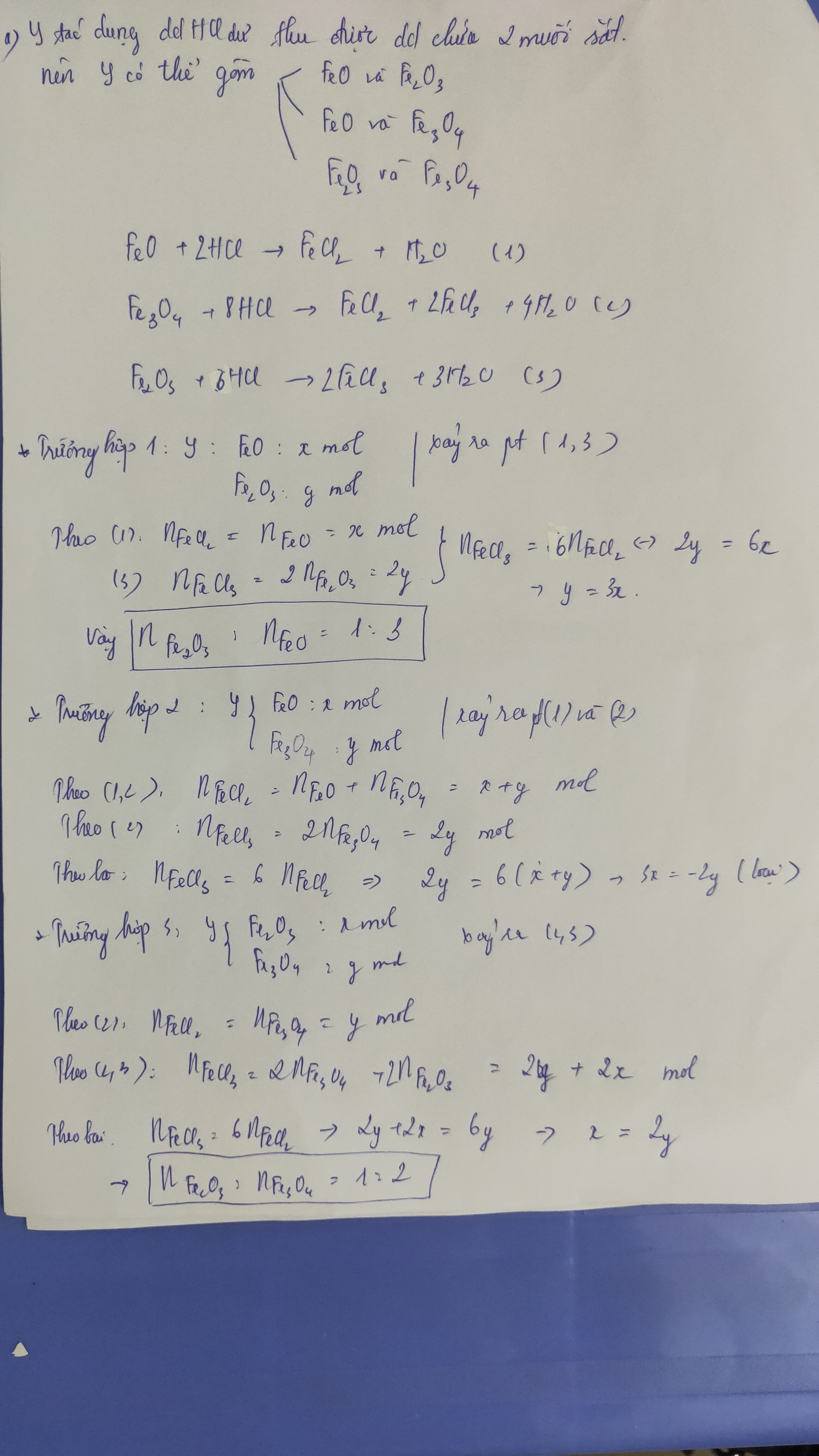
a) Hỗn hợp Y gồm hai trong ba số oxit trên. Hòa tan hoàn toàn hỗn hợp Y trong dung dịch HCl dư thu được dung dịch chứa hai muối sắt, trong đó số mol muối sắt (III) gấp 6 lần số mol muối sắt (II). Viết phương trình hóa học của các phản ứng xảy ra và tìm tỉ lệ số mol của hai oxit trong hỗn hợp Y.
b) Hỗn hợp Z gồm ba oxit trên. Để hòa tan hoàn toàn m gam hỗn hợp Z cần vừa đủ 270ml dung dịch 2M, sau phản ứng thu được 30.09 gam hỗn hợp muối sắt clorua khan. Tìm m.
Quảng cáo
1 câu trả lời 5282
Quảng cáo
Bạn cần hỏi gì?
Câu hỏi hot cùng chủ đề
-
6418
-
Đã trả lời bởi chuyên gia
4847
Gửi báo cáo thành công!


