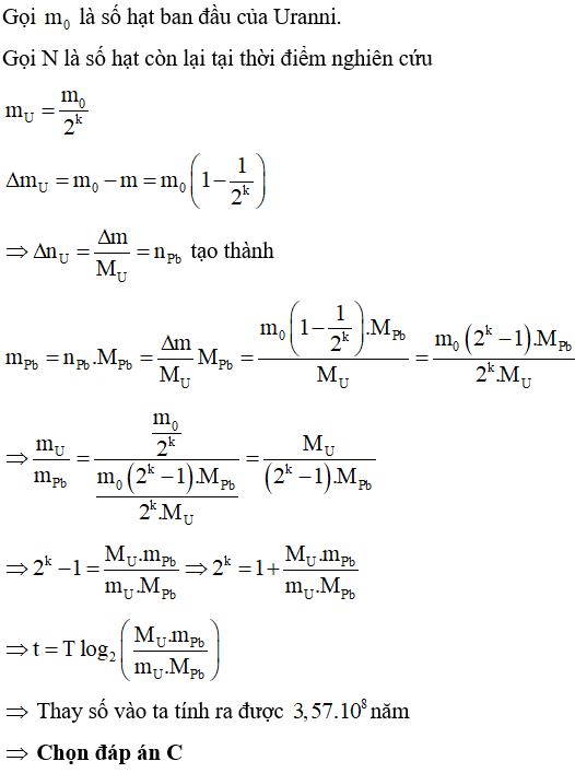
phân rã thành với chu kì bán rã năm. Một khối đá được phát hiện chứa 46,97mgvà 2,315mg . Giả sử khối đá khi mới hình thành không chứa nguyên tố chì và tất cả lượng chì có mặt trong đó đều là sản phẩm phân rã của . Tuổi của khối đá đó hiện nay là bao nhiêu?
Quảng cáo
1 câu trả lời 260
Quảng cáo
Bạn cần hỏi gì?
Câu hỏi hot cùng chủ đề
-
Đã trả lời bởi chuyên gia
153228 -
Đã trả lời bởi chuyên gia
130146 -
Đã trả lời bởi chuyên gia
111744 -
Đã trả lời bởi chuyên gia
106765 -
Đã trả lời bởi chuyên gia
71498
Gửi báo cáo thành công!

