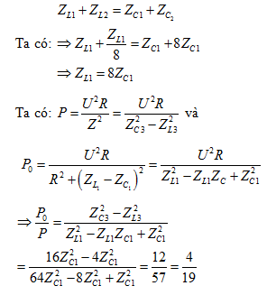
Đặt điện áp xoay chiều có dạng vào hai đầu đoạn mạch gồm R, L, C mắc nối tiếp với U không đổi, , f thay đổi được. Khi và thì công suất tiêu thụ của đoạn mạch như nhau bằng . Khi thì điện áp hiệu dụng ở hai đầu tụ điện đạt giá trị cực đại và công suất tiêu thụ của đoạn mạch lúc này là P . Biết rằng . Tỉ số bằng
A.
B.
C. 0
D. 1
Quảng cáo
2 câu trả lời 2376
Quảng cáo
Bạn muốn hỏi bài tập?
Câu hỏi hot cùng chủ đề
-
153186
-
110543
-
106685
-
71450
Gửi báo cáo thành công!



