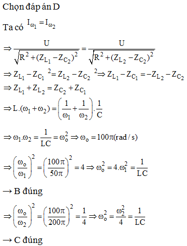
Cho mạch RLC mắc nối tiếp, cuộn dây thuần cảm. Điện áp xoay chiều đặt vào đoạn mạch có tần số thay đổi được. Khi tần số của dòng điện xoay chiều là =25Hz hoặc =100 Hz thì cường độ dòng điện trong mạch có cùng giá trị. Tìm hệ thức liên hệ giữa L, C với hoặc ?
A.
B.
C.
D. B và C.
Quảng cáo
1 câu trả lời 2464
Quảng cáo
Bạn muốn hỏi bài tập?
Câu hỏi hot cùng chủ đề
-
153186
-
110543
-
106685
-
71450
Gửi báo cáo thành công!

