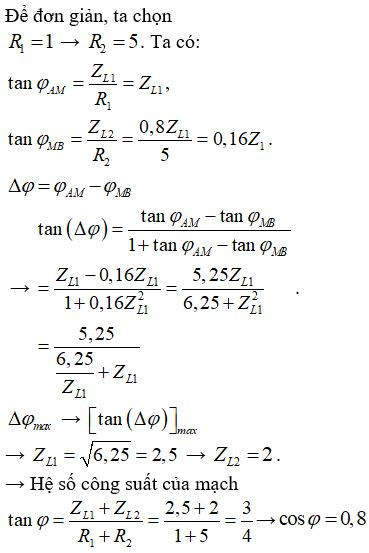
Cho mạch điện như hình vẽ, hai cuộn dây thuần cảm có độ tự cảm thay đổi, biết . Đặt vào hai đầu đoạn mạch một điện áp xoay chiều (Với U và không đổi). Điều chỉnh độ tự cảm của các cuộn dây (nhưng luôn thỏa mãn ) sao cho độ lệch pha giữa điện áp hai đầu đoạn mạch AM và MB lớn nhất, thì hệ số công suất của đoạn mạch khi đó bằng

A. 0,8.
B. 0,6.
C. .
D. .
Quảng cáo
1 câu trả lời 1710
Quảng cáo
Bạn muốn hỏi bài tập?
Câu hỏi hot cùng chủ đề
-
153203
-
110953
-
106707
-
71461
Gửi báo cáo thành công!

