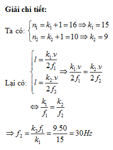
Cho sợi dây có chiều dài l, hai đầu dây cố định, vận tốc truyền sóng trên sợi dây không đổi. Khi tần số sóng là trên sợi dây xuất hiện nút sóng. Khi tần số sóng là , trên sợi dây xuất hiện nút sóng. Tính tần số .
A.
B.
C.
D.
Quảng cáo
1 câu trả lời 4499
Quảng cáo
Bạn cần hỏi gì?
Câu hỏi hot cùng chủ đề
-
Đã trả lời bởi chuyên gia
153396 -
Đã trả lời bởi chuyên gia
130334 -
Đã trả lời bởi chuyên gia
112753 -
Đã trả lời bởi chuyên gia
106968 -
Đã trả lời bởi chuyên gia
71725
Gửi báo cáo thành công!


