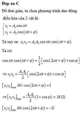
Hai chất điểm dao động điều hòa cùng tần số, có li độ ở thời điểm t là và . Giá trị cực đại của tích là M, giá trị cực tiểu của là . Độ lệch pha giữa và có độ lớn gần nhất với giá trị nào sau đây?
A. 0,79𝑟𝑎𝑑.
B. 2,1𝑟𝑎𝑑.
C. 1,05𝑟𝑎𝑑.
D. 1,58𝑟𝑎𝑑.
Quảng cáo
1 câu trả lời 5656
Quảng cáo
Bạn cần hỏi gì?
Câu hỏi hot cùng chủ đề
-
Đã trả lời bởi chuyên gia
153228 -
Đã trả lời bởi chuyên gia
130146 -
Đã trả lời bởi chuyên gia
111744 -
Đã trả lời bởi chuyên gia
106765 -
Đã trả lời bởi chuyên gia
71498
Gửi báo cáo thành công!


