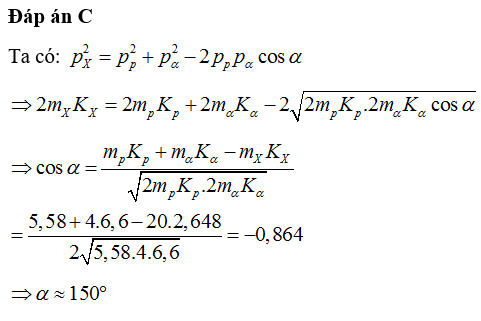
Dùng một proton có động năng 5,58 MeV bắn phá hạt nhân đứng yên sinh ra hạt và hạt nhân X và không kèm theo bức xạ . Biết năng lượng tỏa ra trong phản ứng chuyển hết thành động năng của các hạt tạo thành, động năng của hạt là 6,6 MeV và động năng hạt X là 2,648 MeV. Cho khối lượng các hạt tính theo u bằng số khối. Góc tạo bởi hướng chuyển động của hạt và hướng chuyển động hạt proton là
A. 1470
B. 1480
C. 1500
D. 1200
Quảng cáo
1 câu trả lời 1789
Quảng cáo
Bạn cần hỏi gì?
Câu hỏi hot cùng chủ đề
-
Đã trả lời bởi chuyên gia
153228 -
Đã trả lời bởi chuyên gia
130146 -
Đã trả lời bởi chuyên gia
111744 -
Đã trả lời bởi chuyên gia
106765 -
Đã trả lời bởi chuyên gia
71498
Gửi báo cáo thành công!


