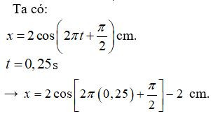
Một chất điểm dao động điều hòa với phương trình li độ (x tính bằng cm, t tính bằng s). Tại thời điểm s, chất điểm có li độ bằng
A. 2 cm.
B. 1 cm.
C. -1 cm.
D. – 2 cm.
Quảng cáo
3 câu trả lời 282
Quảng cáo
Bạn cần hỏi gì?
Câu hỏi hot cùng chủ đề
-
Đã trả lời bởi chuyên gia
153215 -
Đã trả lời bởi chuyên gia
130136 -
Đã trả lời bởi chuyên gia
111343 -
Đã trả lời bởi chuyên gia
106728 -
Đã trả lời bởi chuyên gia
71482
Gửi báo cáo thành công!

