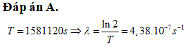
Hạt nhân là phóng xạ có chu kì bán rã 18,3 ngày. Hằng số phóng xạ của hạt nhân là
Quảng cáo
1 câu trả lời 7241
Quảng cáo
Bạn muốn hỏi bài tập?
Câu hỏi hot cùng chủ đề
-
153203
-
110953
-
106707
-
71461
Gửi báo cáo thành công!

