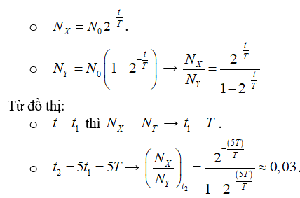
Hạt nhân mẹ X phóng xạ tạo thành hạt nhân con Y theo phương trình . Sự phụ thuộc số hạt nhân X() và số hạt nhân Y() theo thời gian được cho bởi đồ thị hình vẽ. Tỉ số tại thời điểm gần giá trị nào nhất sau đây?

A. 0,01.
B. 0,03.
C. 0,02.
D. 0,04
Quảng cáo
1 câu trả lời 2489
Quảng cáo
Bạn cần hỏi gì?
Câu hỏi hot cùng chủ đề
-
Đã trả lời bởi chuyên gia
153228 -
Đã trả lời bởi chuyên gia
130146 -
Đã trả lời bởi chuyên gia
111744 -
Đã trả lời bởi chuyên gia
106765 -
Đã trả lời bởi chuyên gia
71498
Gửi báo cáo thành công!


